What is Normal Distribution? Explain the role of normal distribution in decision making for data analysis. Write a note on skeweness and kurtosis and explain its causes.
If you want to view other related topics. Click Here.
In probability theory, the normal (or Gaussian) distribution is a very common continuous probability distribution. Normal distributions are important in statistics and are often used in the natural and social sciences to represent real-valued random variables whose distributions are not known. A random variable with a Gaussian distribution is said to be normally distributed and is called a normal deviate.
The normal distribution is useful because of the central limit theorem. In its most general form, under some conditions (which include finite variance), it states that averages of samples of observations of random variables independently drawn from independent distributions converge in distribution to the normal, that is, become normally distributed when the number of observations is sufficiently large. Physical quantities that are expected to be the sum of many independent processes (such as measurement errors) often have distributions that are nearly normal. Moreover, many results and methods (such as propagation of uncertainty and least squares parameter fitting) can be derived analytically in explicit form when the relevant variables are normally distributed. The normal distribution is sometimes informally called the bell curve. However, many other distributions are bell-shaped (such as the Cauchy, Student's t, and logistic distributions).
The normal distribution is a widely observed distribution. Furthermore, it frequently can be applied to situations in which the data is distributed very differently. This extended applicability is possible because of the central limit theorem, which states that regardless of the distribution of the population, the distribution of the means of random samples approaches a normal distribution for a large sample size.
Applications to Business Administration
- Modern portfolio theory commonly assumes that the returns of a diversified asset portfolio follow a normal distribution.
- In operations management, process variations often are normally distributed.
- In human resource management, employee performance sometimes is considered to be normally distributed.
The normal distribution often is used to describe random variables, especially those having symmetrical, unimodal distributions. In many cases however, the normal distribution is only a rough approximation of the actual distribution. For example, the physical length of a component cannot be negative, but the normal distribution extends indefinitely in both the positive and negative directions. Nonetheless, the resulting errors may be negligible or within acceptable limits, allowing one to solve problems with sufficient accuracy by assuming a normal distribution.
Skeweness and kurtosis
Skewness and kurtosis are two commonly listed values when you run a software’s descriptive statistics function. Many books say that these two statistics give you insights into the shape of the distribution.
Skewness is a measure of the symmetry in a distribution. A symmetrical dataset will have a skewness equal to 0. So, a normal distribution will have a skewness of 0. Skewness essentially measures the relative size of the two tails.
Kurtosis is a measure of the combined sizes of the two tails. It measures the amount of probability in the tails. The value is often compared to the kurtosis of the normal distribution, which is equal to 3. If the kurtosis is greater than 3, then the dataset has heavier tails than a normal distribution (more in the tails). If the kurtosis is less than 3, then the dataset has lighter tails than a normal distribution (less in the tails). Careful here. Kurtosis is sometimes reported as “excess kurtosis.” Excess kurtosis is determined by subtracting 3 form the kurtosis. This makes the normal distribution kurtosis equal 0. Kurtosis originally was thought to measure the peakedness of a distribution. Though you will still see this as part of the definition in many places, this is a misconception.
SKEWNESS
Skewness is usually described as a measure of a dataset’s symmetry – or lack of symmetry. A perfectly symmetrical data set will have a skewness of 0. The normal distribution has a skewness of 0.
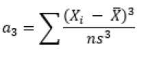
The skewness is defined as (Advanced Topics in Statistical Process Control, Dr. Donald Wheeler:

where n is the sample size, Xi is the ith X value, X is the average and s is the sample standard deviation. Note the exponent in the summation. It is “3”. The skewness is referred to as the “third standardized central moment for the probability model.”
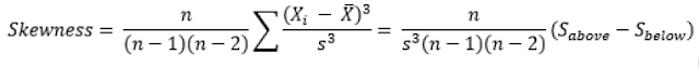
Most software packages use a formula for the skewness that takes into account sample size:

This sample size formula is used here. It is also what Microsoft Excel uses. The difference between the two formula results becomes very small as the sample size increases.
