Characteristics of Normal Curve & its uses in Educational Assessment
To view other related topics. Click Here.
Answer:
Known characteristics of the normal curve make it possible to estimate the probability of occurrence of any value of a normally distributed variable. Suppose that the total area under the curve is defined to be 1. You can multiply that number by 100 and say there is a 100 percent chance that any value you can name will be somewhere in the distribution. ( Remember : The distribution extends to infinity in both directions.) Similarly, because half the area of the curve is below the mean and half is above it, you can say that there is a 50 percent chance that a randomly chosen value will be above the mean and the same chance that it will be below it.
It makes sense that the area under the normal curve is equivalent to the probability of randomly drawing a value in that range. The area is greatest in the middle, where the “hump” is, and thins out toward the tails. That is consistent with the fact that there are more values close to the mean in a normal distribution than far from it.
When the area of the standard normal curve is divided into sections by standard deviations above and below the mean, the area in each section is a known quantity (see Figure 1). As explained earlier, the area in each section is the same as the probability of randomly drawing a value in that range.
Figure 1.The normal curve and the area under the curve between σ units.

For example, 0.3413 of the curve falls between the mean and one standard deviation above the mean, which means that about 34 percent of all the values of a normally distributed variable are between the mean and one standard deviation above it. It also means that there is a 0.3413 chance that a value drawn at random from the distribution will lie between these two points.
Sections of the curve above and below the mean may be added together to find the probability of obtaining a value within (plus or minus) a given number of standard deviations of the mean (see Figure 2). For example, the amount of curve area between one standard deviation above the mean and one standard deviation below is 0.3413 + 0.3413 = 0.6826, which means that approximately 68.26 percent of the values lie in that range. Similarly, about 95 percent of the values lie within two standard deviations of the mean, and 99.7 percent of the values lie within three standard deviations.
Figure 2.The normal curve and the area under the curve between σ units.

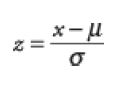
In order to use the area of the normal curve to determine the probability of occurrence of a given value, the value must first be standardized, or converted to a z‐score . To convert a value to a z‐score is to express it in terms of how many standard deviations it is above or below the mean. After the z‐score is obtained, you can look up its corresponding probability in a table. The formula to compute a z‐score is

where x is the value to be converted, μ is the population mean, and σ is the population standard deviation.
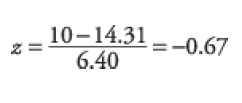
Example A normal distribution of retail‐store purchases has a mean of $14.31 and a standard deviation of 6.40. What percentage of purchases were under $10? First, compute the z‐score:

The next step is to look up the z‐score in the table of standard normal probabilities (see Table 2 in "Statistics Tables"). The standard normal table lists the probabilities (curve areas) associated with given z‐scores.

Table 2 in "Statistics Tables" gives the area of the curve below z—in other words, the probability of obtaining a value of z or lower. Not all standard normal tables use the same format, however. Some list only positive z‐scores and give the area of the curve between the mean and z. Such a table is slightly more difficult to use, but the fact that the normal curve is symmetric makes it possible to use it to determine the probability associated with any z‐score, and vice versa.
To use Table 2 (the table of standard normal probabilities) in "Statistics Tables," first look up the z‐score in the left column, which lists zto the first decimal place. Then look along the top row for the second decimal place. The intersection of the row and column is the probability. In the example, you first find –0.6 in the left column and then 0.07 in the top row. Their intersection is 0.2514. The answer, then, is that about 25 percent of the purchases were under $10.
*********************************************************************************
Tags
Education